Fatture Emesse: Gestione Debiti
Informazioni sul documento
| Lingua | Italian |
| Formato | |
| Dimensione | 456.11 KB |
| Tipo di documento | Report finanziario |
Riassunto
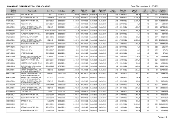
I.Riepilogo delle Fatture Emesse e Pagate
Il documento elenca una serie di fatture emesse e pagate, fornendo dettagli cruciali per la gestione della contabilità. Ogni voce include il nome della società (Ragione Sociale), il numero di documento (Num. Doc.), la data di emissione (Data Doc.), l'importo della fattura, la data di scadenza del pagamento, e l'indicatore di stato del pagamento. Sono presenti diverse società, tra cui APCOA PARKING, NIPPON GASES PHARMA SRL, MOLNLYCKE HEALTH CARE SRL, TOP STORE DISTRIBUZIONI UNIPERSONALE SRL, HIKMA ITALIA SPA, ABBOTT SRL, BIOMEDICA ITALIA SRL, NOVO NORDISK SPA, L. MOLTENI + C. DEI F.LLI ALITTI SOC. DI ESERC. SPA, FOR HOSPITAL SRL, CURIUM ITALY S.R.L., EUROMEDICAL SRL, EQUIPE SRL, AZIENDA SANITARIA LOCALE DI POTENZA, AZIENDA OSPEDALIERA OSPEDALE SAN CARLO, VULTUR SECURITY SRL, e FRESENIUS KABI ITALIA SRL. L'importo totale delle fatture elencate è considerevole, indicando un volume significativo di transazioni commerciali. L'utilizzo del Sistema di Interscambio (SDI) è evidente nella maggior parte delle voci, a dimostrazione dell'adozione di metodi di fatturazione elettronica.
1. Dettagli delle Fatture e Dati Principali
La sezione principale del documento presenta un elenco di fatture, ognuna caratterizzata da diversi campi informativi. Tra questi, troviamo la ragione sociale del fornitore, il numero di documento (Num. Doc.), la data di emissione (Data Doc.), l'importo totale della fattura, la data di scadenza del pagamento, e un indicatore che presumibilmente segnala lo stato del pagamento (Pagato/Non Pagato). Ogni riga rappresenta una singola transazione commerciale, offrendo una panoramica completa delle attività finanziarie dell'azienda. La presenza ricorrente della dicitura "fattura SDI" indica l'utilizzo del Sistema di Interscambio per la fatturazione elettronica, a norma di legge. L'analisi di questi dati permette di ricostruire il flusso di pagamenti, individuando eventuali ritardi o anomalie. Si osservano importi che variano considerevolmente da pochi euro a diverse migliaia, suggerendo una varietà di fornitori e servizi acquisiti. La presenza di diverse date di emissione e scadenza indica un periodo di tempo esteso, probabilmente un trimestre o più, permettendo un'analisi temporale dei costi sostenuti.
2. Fornitori e Settori di Appartenenza
L'elenco delle fatture permette di identificare i principali fornitori di beni e servizi. Si nota una significativa presenza di aziende operanti nel settore farmaceutico (NIPPON GASES PHARMA SRL, HIKMA ITALIA SPA, ABBOTT SRL, NOVO NORDISK SPA, JANSSEN-CILAG SPA), indicando un'attività connessa a questo settore. Altri fornitori appartengono al settore sanitario (MOLNLYCKE HEALTH CARE SRL, FOR HOSPITAL SRL, CURIUM ITALY S.R.L., AZIENDA SANITARIA LOCALE DI POTENZA, AZIENDA OSPEDALIERA OSPEDALE SAN CARLO), suggerendo l'acquisto di materiali o servizi per strutture ospedaliere. Sono presenti anche aziende di distribuzione (TOP STORE DISTRIBUZIONI UNIPERSONALE SRL, EUROMEDICAL SRL) e aziende che forniscono servizi di sicurezza (VULTUR SECURITY SRL). Questa diversificazione dei fornitori indica una pluralità di attività e esigenze dell'azienda. Un'ulteriore analisi potrebbe raggruppare i fornitori per settore, evidenziando le principali voci di costo e permettendo di valutare la distribuzione della spesa aziendale tra i diversi settori di attività.
3. Analisi Temporale e degli Importi
L'analisi delle date di emissione e scadenza delle fatture offre una prospettiva temporale delle attività finanziarie. Le date si concentrano principalmente nel 2021, con una distribuzione che copre diversi mesi. Questo permette di osservare eventuali picchi di spesa in determinati periodi. L'esame degli importi delle fatture rivela una notevole variabilità, che va da importi molto bassi a importi significativamente più alti. Questa variabilità è probabilmente correlata alla natura e alla quantità dei beni o servizi acquisiti. Un'analisi più approfondita potrebbe includere il calcolo di medie, deviazioni standard e altri indicatori statistici per quantificare la variabilità della spesa e identificare eventuali anomalie. La correlazione tra gli importi delle fatture e le date di emissione/scadenza potrebbe rivelare tendenze stagionali o modelli di spesa prevedibili.
II.Dettagli sulle Società Fornitrici
Il documento evidenzia transazioni con un ampio numero di società operanti in diversi settori. Si nota la presenza di aziende farmaceutiche (NIPPON GASES PHARMA SRL, HIKMA ITALIA SPA, ABBOTT SRL, NOVO NORDISK SPA, JANSSEN-CILAG SPA), aziende del settore sanitario (MOLNLYCKE HEALTH CARE SRL, FOR HOSPITAL SRL, CURIUM ITALY S.R.L., AZIENDA SANITARIA LOCALE DI POTENZA, AZIENDA OSPEDALIERA OSPEDALE SAN CARLO), aziende di distribuzione (TOP STORE DISTRIBUZIONI UNIPERSONALE SRL, EUROMEDICAL SRL), e altre aziende che forniscono servizi diversi. L'analisi dettagliata di ogni società e del suo contributo al totale delle fatture fornirà informazioni preziose per la gestione aziendale e per l'ottimizzazione dei processi di pagamento.
1. Settore Farmaceutico e Sanitario
Un numero significativo di fornitori appartiene al settore farmaceutico e sanitario. Aziende come NIPPON GASES PHARMA SRL (anche con la precedente denominazione RIVOIRA PHARMA SRL), HIKMA ITALIA SPA (ex Istituto Biochimico Pavese Pharma SPA), ABBOTT SRL, NOVO NORDISK SPA (già Novo Nordisk Farmaceutici SPA), e JANSSEN-CILAG SPA rappresentano una parte importante delle transazioni. Queste aziende forniscono probabilmente medicinali, dispositivi medici o altri prodotti correlati. La presenza di aziende come MOLNLYCKE HEALTH CARE SRL, FOR HOSPITAL SRL, CURIUM ITALY S.R.L. (ex IBA MOLECULAR S.R.L.) e le Aziende Sanitarie Locali (ASL) di Potenza e l'Azienda Ospedaliera Ospedale San Carlo conferma una forte relazione con il settore sanitario. L'analisi dettagliata degli importi fatturati da queste aziende fornirebbe informazioni sulla spesa in medicinali e dispositivi medici, e sulla gestione delle forniture per le strutture sanitarie. L'entità delle singole fatture suggerisce acquisti di beni o servizi di varia entità, a seconda delle esigenze.
2. Settore Distribuzione e Altri Servizi
Oltre al settore farmaceutico e sanitario, il documento evidenzia transazioni con aziende di distribuzione come TOP STORE DISTRIBUZIONI UNIPERSONALE SRL e EUROMEDICAL SRL (ex SAS di Bilancia Giovanni e C.). Queste aziende potrebbero fornire materiali di consumo, attrezzature o altri beni necessari per le attività dell'azienda. Si osserva anche la presenza di APCOA PARKING, azienda che probabilmente fornisce servizi di parcheggio. Infine, sono presenti fatture emesse da EBIT SRL, MANGIA CHIARA (partita IVA MNGCHR89S58D86), BOCHICCHIO ILARIA (partita IVA BCHLRI80D58F104G), e VULTUR SECURITY SRL, suggerendo una gamma di servizi diversificati, inclusi quelli amministrativi o di sicurezza. L'analisi dei singoli importi permette di stimare l'importanza di ciascuno di questi servizi nel bilancio aziendale. La diversità dei settori di appartenenza dei fornitori sottolinea la complessità dell'attività dell'azienda.
3. Ripetizione di Fornitori e Frequenza delle Transazioni
Si nota una certa ripetizione di alcuni fornitori, come NIPPON GASES PHARMA SRL e TOP STORE DISTRIBUZIONI UNIPERSONALE SRL, che appaiono più volte nell'elenco. Questo suggerisce una relazione commerciale continuativa con queste aziende, che probabilmente forniscono beni o servizi regolarmente. CURIUM ITALY S.R.L. è un altro fornitore che appare più volte. La frequenza delle transazioni con questi fornitori potrebbe indicare un rapporto commerciale consolidato e di grande importanza per l'attività dell'azienda. Al contrario, altri fornitori appaiono una sola volta, suggerendo transazioni occasionali o di natura specifica. Analizzando la frequenza e l'importo delle fatture emesse da ogni fornitore, si possono trarre conclusioni sulla rilevanza di ciascuna relazione commerciale e sulla gestione degli acquisti.
III.Analisi delle Date e degli Importi delle Fatture
Le date di emissione e di scadenza dei pagamenti delle fatture coprono un periodo di diversi mesi nel 2021. L'analisi di queste date, in relazione agli importi delle singole fatture, potrebbe rivelare tendenze stagionali o altri modelli di spesa. L'identificazione di eventuali ritardi nei pagamenti è fondamentale per la gestione del flusso di cassa. Un'analisi più approfondita potrebbe includere la classificazione delle fatture per tipologia di bene o servizio, al fine di migliorare la comprensione della composizione della spesa aziendale. L'indicatore di stato di pagamento permette di monitorare l'efficienza del processo di liquidazione delle fatture.
1. Distribuzione Temporale delle Fatture
Le date di emissione delle fatture coprono un periodo che va dal 23 ottobre 2020 al 25 giugno 2021, indicando un arco temporale di circa otto mesi. La maggior parte delle fatture è datata nel 2021, con una concentrazione significativa nei mesi di aprile e maggio. Questo potrebbe riflettere un'attività più intensa in questi mesi, oppure potrebbe essere dovuto a fattori di reporting o di chiusura contabile. L'analisi delle date di scadenza del pagamento evidenzia i tempi di pagamento concordati con i fornitori. La maggior parte delle scadenze cade entro i primi sei mesi del 2021, ma alcune si estendono anche oltre. La distribuzione temporale delle fatture fornisce informazioni utili per la pianificazione finanziaria, permettendo di prevedere flussi di cassa e possibili picchi di spesa. La comparazione tra date di emissione e scadenza evidenzia i tempi medi di pagamento, aspetto fondamentale per la gestione dei rapporti con i fornitori e per la valutazione dell'efficienza del processo di pagamento.
2. Variabilità degli Importi Fatturati
Gli importi delle fatture mostrano una notevole variabilità, che va da pochi euro (come nel caso di alcune fatture con importi inferiori a 100 euro) a importi molto più consistenti, che superano anche i 10.000 euro (come ad esempio la fattura di HIKMA ITALIA SPA). Questa variabilità riflette la diversità dei beni e servizi acquistati, nonché la quantità di questi beni o servizi. Ad esempio, le fatture di aziende farmaceutiche tendono ad avere importi maggiori rispetto a quelle di fornitori di servizi. L'analisi degli importi fornisce indicazioni sulle principali voci di costo dell'azienda e permette di identificare le aree di spesa più significative. Un'ulteriore analisi potrebbe raggruppare le fatture per categoria di spesa (es. materiali di consumo, servizi, ecc.) per una migliore comprensione della composizione dei costi.
3. Correlazione tra Date e Importi
L'analisi della correlazione tra le date di emissione/scadenza e gli importi delle fatture può rivelare tendenze interessanti. Ad esempio, è possibile verificare se ci sono periodi dell'anno in cui vengono emesse fatture con importi maggiori rispetto ad altri. Questo potrebbe essere dovuto a fattori stagionali, a progetti specifici, o ad altri elementi che influenzano il ciclo di spesa. Inoltre, la comparazione tra l'importo della fattura e il tempo che intercorre tra la data di emissione e la scadenza del pagamento potrebbe fornire informazioni utili sulla puntualità dei pagamenti e sulla gestione del credito con i fornitori. Un'analisi più approfondita potrebbe includere l'utilizzo di tecniche statistiche per identificare eventuali correlazioni significative tra le variabili analizzate.
