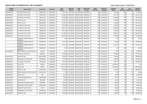
Fatture: Scadenze Pagamenti
Informazioni sul documento
| Lingua | Italian |
| Formato | |
| Dimensione | 405.95 KB |
Riassunto
I.Riepilogo delle Fatture Elettroniche SDI
Questo documento riporta un registro di fatture elettroniche SDI (Sistema di Interscambio), dettagliando diverse fatture mandato con relative informazioni. Sono presenti numerose voci, ciascuna con il numero di documento, la ragione sociale del cliente, la data del documento, la data di scadenza pagamento, e l'importo. Le aziende coinvolte includono, tra le altre, Janssen-Cilag Spa, Fresenius Kabi Italia Srl, Hikma Italia Spa, e Bristol-Myers Squibb Srl. Gli importi delle fatture variano significativamente, da poche centinaia a oltre 20.000 euro. Le date di emissione e di scadenza del pagamento sono distribuite tra Gennaio e Marzo 2021. Una corretta gestione della fatturazione elettronica e delle date di scadenza pagamento è fondamentale per la liquidità aziendale.
1.1 Tipologia e Numero delle Fatture
Il documento presenta un elenco di fatture elettroniche, specificamente identificate come fatture SDI (Sistema di Interscambio). Il numero di fatture elencate è consistente, suggerendo un periodo di registrazione esteso. Ogni voce riporta il numero di documento, un indicatore (il cui significato non è specificato), la ragione sociale del cliente, e l'importo della fattura. L'ampio spettro di importi, che vanno da cifre relativamente basse (ad esempio, 151,80 euro) ad importi molto più elevati (come 677.697,80 euro), indica una varietà di transazioni commerciali. La presenza ripetuta della dicitura 'fattura mandato' suggerisce che si tratta di fatture emesse in seguito ad un mandato specifico. La mancanza di ulteriori dettagli, tuttavia, impedisce una completa analisi del significato di questo indicatore.
1.2 Date di Emissione e Scadenza Pagamento
Le date di emissione e di scadenza dei pagamenti delle fatture sono distribuite tra diversi mesi, principalmente tra gennaio e marzo del 2021. Questa dispersione temporale suggerisce un processo di fatturazione continuativo nel periodo considerato. L'analisi delle date di scadenza è essenziale per valutare la tempistica dei pagamenti e la gestione del credito. L'esame più approfondito di questa distribuzione potrebbe evidenziare eventuali tendenze o anomalie nel processo di fatturazione e pagamento. La presenza di fatture con scadenze anche in aprile evidenzia la necessità di una gestione accurata delle scadenze per ottimizzare il flusso di cassa.
1.3 Aziende Clienti e Importi delle Fatture
Il documento elenca diverse ragioni sociali dei clienti, indicando una varietà di aziende con cui l'emittente della fattura intrattiene rapporti commerciali. Tra i clienti più ricorrenti si osservano Fresenius Kabi Italia Srl e Hikma Italia Spa (quest'ultima con diverse fatture), indicando potenzialmente rapporti commerciali importanti e continuativi. Altri clienti includono Janssen-Cilag Spa e Bristol-Myers Squibb Srl, aziende di rilievo nel settore farmaceutico. L'importo delle singole fatture varia notevolmente, riflettendo probabilmente la natura e l'entità delle diverse transazioni commerciali. Un'analisi dettagliata di questi dati potrebbe evidenziare le principali aree di business dell'emittente e le relative relazioni commerciali.
II.Analisi delle Aziende Clienti
Il registro delle fatture mandato include un numero considerevole di aziende clienti appartenenti al settore farmaceutico e medico. Tra le principali figurano Janssen-Cilag Spa, Fresenius Kabi Italia Srl (con più fatture), Hikma Italia Spa (con diverse fatture), Bristol-Myers Squibb Srl, e altre aziende come Fresenius Medical Care e Medtronic Italia Spa. L'analisi dettagliata delle singole aziende e dei loro importi richiederà un'ulteriore approfondimento. L'individuazione dei principali fornitori e clienti permette una migliore gestione della fatturazione elettronica e del flusso di cassa. L'utilizzo di un sistema di emissione fattura elettronica efficiente è fondamentale per la gestione di questi dati.
2.1 Settore di Appartenenza delle Aziende Clienti
L'analisi delle ragioni sociali presenti nel registro delle fatture indica una prevalenza di aziende operanti nel settore farmaceutico e sanitario. Aziende come Janssen-Cilag Spa, Fresenius Kabi Italia Srl, Hikma Italia Spa (ex Istituto Biochimico Pavese Pharma Spa), Bristol-Myers Squibb Srl, Fresenius Medical Care, Medtronic Italia Spa, Bracco Imaging Italia Srl, Sun Pharma Italia Srl (ex Ranbaxy Italia Spa), Johnson & Johnson Medical Spa, e altre ancora, confermano questa tendenza. La presenza di aziende come Kyocera Document Solutions Italia Spa e Advanced Accelerator Applications Srl suggerisce anche una componente legata a servizi e tecnologie per il settore. Questa concentrazione settoriale potrebbe indicare una specializzazione dell'emittente delle fatture in questo ambito specifico. L'individuazione di questo settore di riferimento è fondamentale per una migliore comprensione delle attività commerciali e del tipo di rapporti instaurati.
2.2 Frequenza delle Transazioni con i Clienti
Alcune aziende appaiono nel registro più volte, suggerendo una frequenza di transazioni maggiore rispetto ad altre. In particolare, Fresenius Kabi Italia Srl e Hikma Italia Spa sono menzionate ripetutamente, indicando un volume di affari significativo e un rapporto commerciale continuativo. Questa ripetizione indica l'importanza di queste aziende come clienti per l'emittente delle fatture. L'analisi della frequenza delle transazioni con ciascun cliente potrebbe essere utile per identificare i partner commerciali più importanti e strategici. Un'ulteriore indagine potrebbe rivelare la natura dei contratti o degli accordi commerciali sottesi a queste frequenti transazioni.
2.3 Importi delle Fatture per Cliente
Gli importi fatturati variano significativamente tra i diversi clienti. Mentre alcune fatture presentano importi relativamente bassi, altre mostrano cifre considerevoli, come nel caso di alcune fatture emesse a favore di Bristol-Myers Squibb Srl. Questa variabilità nell'importo riflette la diversità dei beni o servizi forniti e delle dimensioni delle transazioni. Un'analisi più approfondita potrebbe evidenziare una correlazione tra l'importo delle fatture e la tipologia di cliente o il tipo di servizio reso. Questa informazione può essere utile per valutare la redditività di ciascun cliente e per ottimizzare le strategie commerciali.
III.Gestione delle Scadenze di Pagamento
La tempestiva gestione delle scadenze pagamento è critica. Il documento mostra una varietà di date di scadenza, concentrate principalmente tra Febbraio e Marzo 2021. Un'analisi più dettagliata delle date di scadenza pagamento permetterà una pianificazione ottimale del flusso di cassa. La puntualità nei pagamenti è essenziale per mantenere relazioni commerciali positive con i clienti e per evitare eventuali ritardi nel ciclo di fatturazione elettronica. Un software di gestione fattura mandato può automatizzare questo processo e migliorare l'efficienza.
3.1 Distribuzione Temporale delle Scadenze
Il documento evidenzia una concentrazione delle scadenze di pagamento tra i mesi di febbraio e marzo del 2021, con alcune eccezioni che si estendono anche ad aprile. Questa distribuzione non è uniforme: si osservano diverse fatture con scadenza a febbraio, altre a marzo, e poche ad aprile. Questa concentrazione temporale suggerisce la necessità di una pianificazione finanziaria accurata per far fronte agli impegni di pagamento in quei mesi specifici. Un'analisi più dettagliata potrebbe rivelare se questa distribuzione è legata a fattori specifici, come ad esempio cicli di pagamento previsti da contratti commerciali o scadenze fiscali. La presenza di una scadenza a maggio (11/05/2021) suggerisce una variabilità che necessita di monitoraggio attento.
3.2 Impatto sulla Gestione del Fusso di Cassa
La distribuzione delle scadenze di pagamento ha un impatto diretto sulla gestione del flusso di cassa. La concentrazione di scadenze in febbraio e marzo potrebbe rappresentare un periodo di maggiore impegno finanziario. Una corretta previsione e gestione di queste scadenze è cruciale per garantire la liquidità necessaria per far fronte ai pagamenti in modo tempestivo ed evitare eventuali ritardi o problemi finanziari. L'analisi delle scadenze, in combinazione con i relativi importi delle fatture, permette di costruire un preciso piano di tesoreria. Una pianificazione inadeguata potrebbe comportare difficoltà nel far fronte agli obblighi di pagamento, con potenziali conseguenze negative per la stabilità finanziaria.
3.3 Necessità di Sistemi di Gestione delle Scadenze
L'analisi dei dati evidenzia la necessità di implementare sistemi efficienti per la gestione delle scadenze di pagamento. Un sistema di monitoraggio accurato permette di prevedere e pianificare in anticipo gli impegni finanziari, ottimizzando la gestione del flusso di cassa. Strumenti informatici dedicati alla gestione delle fatture e delle scadenze possono automatizzare il processo, riducendo il rischio di errori e migliorando l'efficienza. L'utilizzo di tali strumenti è fondamentale per evitare ritardi nei pagamenti, mantenere relazioni positive con i fornitori, e garantire la stabilità finanziaria dell'azienda. Un sistema di allerta per le scadenze imminenti è particolarmente utile per una gestione proattiva.
